熱力学 演習3
ピストンの問題で良い復習になります。
とにかく
・力のつりあい
・状態方程式
・熱力学第一法則
です。(今回はポアソンの公式も)
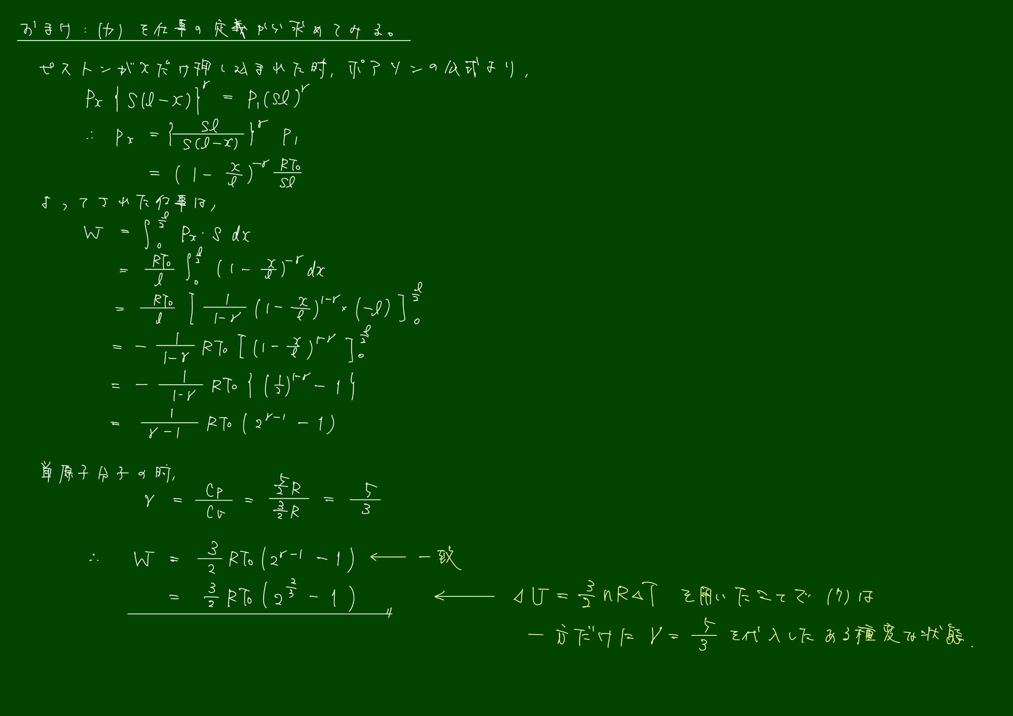
3枚目はおまけで、逆算ではなく定義通り仕事を求めてみました。逆算の時は一方にのみ比熱比を代入した奇妙な状態だとわかりました。

【熱力学 演習 3】
ピストンの問題で良い復習になります。とにかく
・力のつりあい
・状態方程式
・熱力学第一法則
です。(今回はポアソンの公式も)3枚目はおまけで、逆算ではなく定義通り仕事を求めてみました。逆算の時は一方にのみ比熱比を代入した奇妙な状態だとわかりました。#難系 #物理 pic.twitter.com/yOUvyfxCpz
— 暇物 (@NPhyphyP) January 29, 2025
補足
出典:創作
その他
熱力学編の解答リストはこちら
その他分野の解答リストはトップページから
ご質問・ご指摘はXアカウント/マシュマロから
Xアカウント:https://twitter.com/NPhyphyP
Xでシェアする
No responses yet