熱力学 演習2
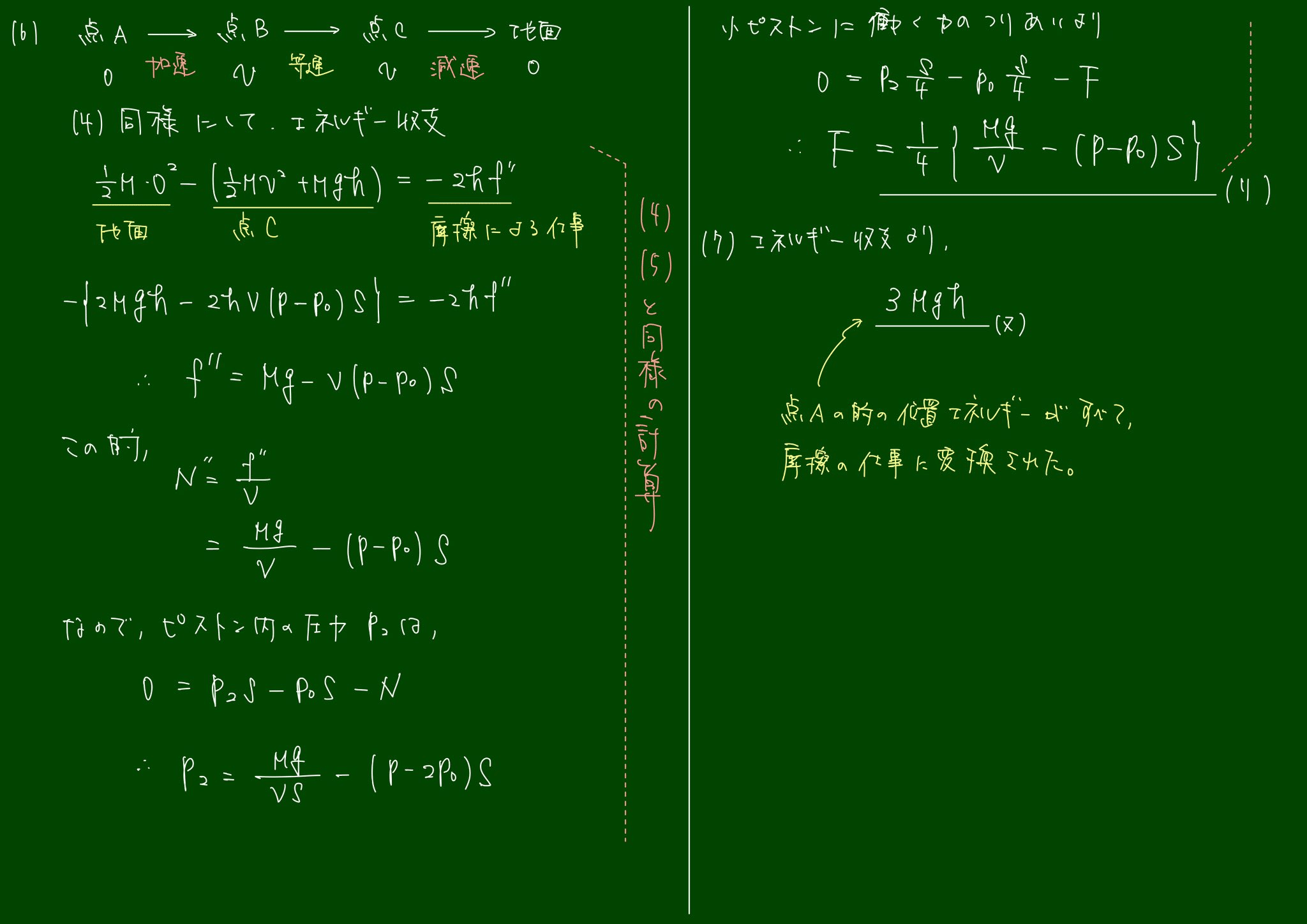
熱力学と言いながらほとんど力学です。
これはブレーキの原理でしょうか?問題を解きながら別のことも学べるこういう問題は面白いですね。
(4)と(6)は”解答”とは違いエネルギー収支から答えを求めました。
【熱力学 演習 2】
リクエストいただきました。熱力学と言いながらほとんど力学です。これはブレーキの原理でしょうか?問題を解きながら別のことも学べるこういう問題は面白いですね。
(4)と(6)は”解答”のは違いエネルギー収支から答えを求めました。#難系 #物理 pic.twitter.com/g6EcANcRmk
— 暇物 (@NPhyphyP) November 13, 2024
補足
出典:京都大
その他
熱力学編の解答リストはこちら
その他分野の解答リストはトップページから
ご質問・ご指摘はXアカウント/マシュマロから
Xアカウント:https://twitter.com/NPhyphyP
Xでシェアする
No responses yet